广告营销前沿每一种产品出售时都有价格,恰当的定价不仅能给企业带来优厚的回报,也能为品牌在其领域保持优势提供保障。
定价是企业至关重要的决策,与企业的盈利密切相关。然而一成不变的价格策略无法适应瞬息万变的市场竞争,企业需要确保每一次的价格“底线”必须要能满足自身面对不同市场环境的需求。在追求“全”而“优”的道路上,无论是一套还是多套方案,到底什么才是产品定价的万全之策?
“几乎每一家企业都希望能把握消费者的心理预期,但要实现这一步,必须从专业层面获取更多的消费者感知,其中包括产品的功能、品质、服务、体验等。”Choiceform巧思科技(CEM客户体验管理智能解决方案)副总裁张宗华表示,“产品定价并没有简单万能的规则可循,巧思科技正在帮助每一家企业建立一套独有、灵活应变的定价模型,以支撑企业在面对复杂的商业环境时能敏捷地、精准地做出正确的定价战略。”
Choiceform巧思科技创建ElasticPriceFit模型,该模型实现了在联合分析(多重变量分析)的范畴内实现价格弹性估测的重大突破。ElasticPriceFit模型的最大优势是可以将消费者对产品的购物决策分解为对于每种属性(例如品牌、功能等)和价格水平对决策的影响和权重,从而对价格弹性的估计和市场需求的预测更为准确,同时为品牌在前期研究的过程达到提升效率、节省成本的结果。
目前Choiceform ElasticPriceFit模型已被大量采用在产品售前价格感知中。在过往的经验里我们成功为企业预测消费者对不同定价方案的反应,并为其评估、推荐了销售额或利润最大化的方案。
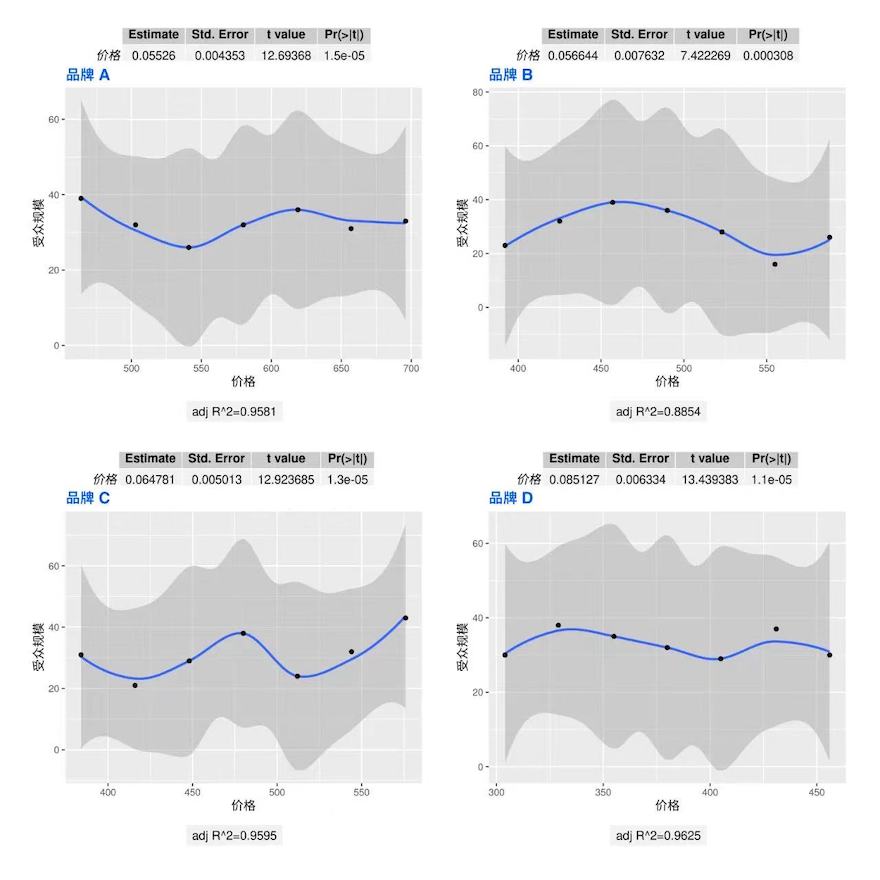
以针对某品牌轮胎产品的定价弹性研究实验为例,Choiceform根据品牌与产品的特性做出了几大亮点研究。以下为研究的重点思路:
研究思路
·问卷采用正交设计方法:大规模产品参数组合下,问卷采用正交设计方法,确保问卷的体验舒适度与答题的有效性。
·检验现有的定价策略:在已有的多类型产品组合中,了解消费者对产品的偏好,检验现有的定价策略。即消费者平均可接受价格和可接受价格区间。品牌以什么样的价格售卖对应的品牌和参数配置的轮胎时消费者愿意付费购买。
·建立Choiceform ElasticPriceFit模型:对轮胎价格和受众规模的关系建立了ElasticPriceFit模型,分解为对于每种属性(例如品牌、功能等)和价格水平对决策的影响和权重,预测消费者对各个品牌轮胎的价格弹性。

Choiceform ElasticPriceFit模型 联合分析品牌价格预估
·挖掘影响消费者选择的决定性因素:进一步探究产生偏好差异的原因,挖掘影响消费者选择的决定性因素,以帮助品牌确定最受欢迎的参数组合,有针对性地生产产品以及定价。
·找到最具有核心竞争力的参数:为品牌找到最具有核心竞争力的参数,并且在对最佳的参数组合定价时,结合消费者可以接受的价格范围,将价格定在优势水平。
·验证预测的准确率进而评估模型的好坏:优化模型,确保预测的准确率。让预估结果更具价值。
研究总结
总的来说,Choiceform从试验设计到针对问题的类型建立建立了ElasticPriceFit模型,找到了多种轮胎品牌下消费者的价格弹性,发现当价格提升时,愿意购买的消费者数量预计会增加。针对这一受众规模提升效应,Choiceform深度挖掘了消费者对轮胎产品选购的偏好,分析发现消费者做出购买决策时,相比于价格,消费者更在意轮胎的参数配置。并进一步定位了各个品牌中对消费者选购决策具有重大影响的少数几个核心区分度的参数,准确预测了消费者在各种参数组合下的选购意向。
通过Choiceform ElasticPriceFit模型,我们帮助企业客户掌握了消费者的心理预期,为企业客户提供了重要的市场洞察,以便更精准地制定分级价格策略;并为其找到了在哪些参数下具有核心竞争力,优化产品组合和价格提供了有力支撑以及制定拓展市场份额的长期发展战略,使得企业客户的问题迎刃而解。
产品体验与客户体验
产品体验作为客户体验的重要组成部分,它聚焦于消费者完整旅程中与产品进行交互的部分。产品体验变得比以往任何时候都更加重要。糟糕的产品体验会赶走客户,让他们对品牌产生厌恶。而良好的产品体验会增加消费者的使用和购买,提升忠诚度,并使他们更愿意向身边的人推荐您的产品。
所有成功的产品都会经历不断的测试、调整、再测试的循环。前期测试可以提供给品牌和消费者一起协作,提出建议并不断改善产品的机会。而了解消费者的使用体验则能为优化您产品的营销策略提供更多见解。而循环速度毫无疑问是影响探索和验证洞察的核心因素。

不仅是产品体验的洞察,Choiceform还提供针对提升产品体验的落地行动。因为仅有洞察是远远不够的,Choiceform客户体验管理解决方案可实现自动化的问题深度探索、服务跟进、相关营销活动推动等功能。在结合运营数据和体验数据对客户做出的全面洞察,帮您找到合适的客户并产出精准的产品营销内容。























